https://doi.org/https://doi.org/10.53853/encr.11.4.827

Recibido: 12 de julio de 2023; Aceptado: 19 de agosto de 2024

Síndrome de hueso hambriento, ¿es posible prevenirlo?


Hungry bone syndrome: Is it possible to prevent it?

A. González Clavijo, 1* C. Amado Medina, 2 M. Rincón Torres, 2

Departamento de Ciencias Fisiológicas, Facultad de Medicina, Universidad Nacional de Colombia, Bogotá D. C., Colombia Departamento de Ciencias Fisiológicas Facultad de Medicina Universidad Nacional de Colombia Bogotá D. C. Colombia
Universidad Nacional de Colombia, Bogotá D. C., Colombia Universidad Nacional de Colombia Bogotá D. C. Colombia

Correspondencia: amgonzalezc@unal.edu.co

Resumen

Contexto:

el síndrome de hueso hambriento es una entidad caracterizada por la caída grave y prolongada en las concentraciones séricas de calcio, que aparece en el posoperatorio de paratiroidectomía de pacientes con hiperparatiroidismo.

Objetivo:

revisar la evidencia actualizada sobre las estrategias disponibles para prevenir la aparición del síndrome de hueso hambriento.

Metodología:

búsqueda exhaustiva en bases de datos especializadas, incluidas Medline/ Pubmed, Embase y Lilacs, mientras que para la literatura gris se adoptó Google como motor de búsqueda. Los términos MeSH utilizados fueron: Hungry bone syndrome, Hypocalcemia, Parathyroidectomy, Hyperparathyroidism, Bisphosphonates, Vitamin D. Estas palabras claves se combinaron utilizando los operadores booleanos con el objetivo de optimizar la búsqueda de estudios relevantes. Además, se realizaron búsquedas manuales en las listas de referencias de los artículos seleccionados para identificar estudios adicionales de interés.

Resultados:

existe aún poca evidencia disponible sobre las estrategias que podrían instaurarse para disminuir el riesgo de aparición del síndrome de hueso hambriento, sin embargo, los bifosfonatos parecen ser eficaces para reducir la incidencia.

Conclusiones:

debido al número limitado de evidencia publicada, no es posible tener guías respecto a la prevención que se le debe dar al síndrome de hueso hambriento, por lo que se necesitan estudios prospectivos aleatorizados para resolver esta interrogante.

Palabras clave:

síndrome de hueso hambriento, hipocalcemia, paratiroidectomía, hiperparatiroidismo, bifosfonatos, vitamina D..

Abstract:

Background:

Hungry bone syndrome is an entity characterized by a severe and prolonged drop in serum calcium concentrations, which appears postparathyroidectomy in patients with hyperparathyroidism.

Purpose:

Review updated evidence on available strategies to prevent the onset of hungry bone syndrome

Methodology:

The search was conducted in specialized databases, including MEDLINE/ Pubmed, EMBASE, and LILACS. For grey literature, Google Scholar was adopted as the search engine. The MeSH terms used were: Hungry Bone Syndrome, Hypocalcemia, Parathyroidectomy, Hyperparathyroidism, Bisphosphonates, Vitamin D. These keywords were combined using Boolean operators with the objective of optimizing the search for relevant studies. Additionally, reference lists of selected articles were manually searched to identify additional studies of interest.

Results:

There is still little evidence available on the strategies that could be implemented to reduce the risk of the appearance of hungry bone syndrome, however, bisphosphonates seem to be effective in reducing the incidence.

Conclusions:

Due to the limited number of published evidence, it is not possible to have guidelines regarding the prevention that should be given to hungry bone syndrome, so prospective randomized studies are needed to resolve this question.

Keywords:

Hungry bone syndrome, Hypocalcemia, Parathyroidectomy, Hyperparathyroidism, Bisphosphonate, Vitamin D..

Introducción

El síndrome de hueso hambriento (SHH) es una complicación relativamente infrecuente pero grave, que aparece en el periodo posoperatorio en pacientes sometidos a paratiroidectomía selectiva o pluriglandular por hiperparatiroidismo primario (HPTP), hiperparatiroidismo secundario (HPTS) (1) o tiroidectomía total por tirotoxicosis con hipoparatiroidismo posquirúrgico (2).

Se caracteriza por ser un estado de hipocalcemia rápida, profunda (calcio sérico < 2,1 mmol/l / 8,4 mg/dl) y prolongada (más de 4 días después de la operación), asociado a hipofosfatemia e hipomagnesemia, que es causado por un depósito masivo de calcio en el hueso y por la supresión de los niveles de la hormona paratiroidea, posterior a una intervención quirúrgica que afecte la función paratiroidea (3-5).

Los datos sobre la prevalencia del SHH son escasos y contradictorios. En series norteamericanas se han reportado prevalencias del 12,6 % en pacientes llevados a paratiroidectomía (6), mientras que en series de países orientales, las prevalencias reportadas son más altas (20-30 %) (7-8). Incluso un estudio de India, en el cual se hizo seguimiento a 51 pacientes con hiperparatiroidismo primario y osteítis fibrosa sin tratamiento previo sometidos a paratiroidectomía, se encontró el SHH en el 62 % de los casos (9). En pacientes con hiperparatiroidismo secundario de origen renal llevados a paratiroidectomía, se han encontrado prevalencias del SHH del 27 % (10-11) y en todos los casos la prevalencia parece disminuir en los pacientes que recibieron bisfosfonatos previos a la cirugía (12).

Esta revisión busca analizar qué factores de riesgo están implicados en la génesis del SHH y las estrategias descritas en la literatura para disminuir su aparición desde la fisiopatología.

Materiales y métodos

Se realizó una búsqueda exhaustiva en bases de datos especializadas, incluidas Medline/ Pubmed, Embase y Lilacs, mientras que para la literatura gris se adoptó Google como motor de búsqueda. Los términos MeSH utilizados fueron: Hungry bone syndrome, Hypocalcemia, Parathyroidectomy, Hyperparathyroidism, Bisphosphonates, Vitamin D. Estas palabras claves se combinaron utilizando los operadores booleanos con el objetivo de optimizar la búsqueda de estudios relevantes. Además, se realizaron búsquedas manuales en las listas de referencias de los artículos seleccionados para identificar estudios adicionales de interés.

Resultados

Fisiopatología del SHH

La función principal de la hormona paratiroidea (PTH, según sus siglas en inglés) es mantener la homeostasis del calcio en el líquido extracelular, a través de múltiples mecanismos dirigidos principalmente a los tejidos con alta expresión del receptor de hormona paratiroidea tipo 1 (PTH1R) (5). La PTH actúa sobre el hueso aumentando la resorción ósea, originando un mayor flujo de calcio desde el hueso hacia la sangre; sobre el riñón disminuye la eliminación renal del calcio y en el intestino aumenta la eficacia de la absorción del calcio, estimulando la síntesis renal del 1,25 dihidroxicolecalciferol (1,25(OH)2D) (13-16).

En una fase inicial, la exposición transitoria a grandes concentraciones de PTH conduce a la formación del hueso, dado que estimula la proliferación de células osteoblásticas en la superficie ósea y promueve una mayor deposición de la matriz (13, 16-17); sin embargo, en aquellos casos de exposición a concentraciones persistentemente prolongadas, como ocurre en el hiperparatiroidismo, predomina el evento de resorción ósea osteoclástica que conduce a la liberación de Ca++ y fosfato, como resultado de la degradación de la hidroxiapatita (5, 14-15, 18). Se considera que la respuesta inicial de la PTH tiene como objetivo “preparar” al hueso para que sea capaz de proporcionar calcio durante la resorción y, de esta forma, proteger al hueso de un efecto calcémico agudo (13).

Los pacientes que cursan con SHH presentan una exposición preoperatoria prolongada a la hormona paratiroidea, lo que condiciona a altas tasas de resorción ósea (19) y una vez eliminados los altos niveles circulantes de PTH por la paratiroidectomía, ocurre un cambio marcado hacia la actividad osteoblástica, favoreciendo la formación ósea con un aumento importante de la captación de calcio por parte del esqueleto, lo que predispone al paciente a una hipocalcemia sintomática (1, 3-5).

Si bien es esperado que ocurra una caída en la concentración sérica de calcio después de una paratiroidectomía en pacientes con hiperparatiroidismo, por lo general, esta se resuelve de dos a cuatro días, pero en el SHH ocurre una caída severa en la concentración sérica de calcio total, la cual se prolonga por más de cuatro días después de la operación. Adicionalmente, se puede observar hipofosfatemia e hipomagnesemia, dado que estas concentraciones se dan en el proceso de osteoblastogénesis (15, 20-22).

¿Cuáles factores de riesgo se han relacionado con la aparición del SHH?

En estudios retrospectivos se ha descrito que el antecedente de hiperparatiroidismo secundario asociado a enfermedad renal crónica en edad temprana (menor a 45 años) fue un factor predictivo significativo para el desarrollo de SHH. Probablemente debido a que el aumento en la formación ósea mediada por los osteoblastos después de la paratiroidectomía es más pronunciado en los pacientes más jóvenes con HPTS que en los mayores (1, 10-11, 23); sin embargo, en otro espectro de la enfermedad, el SHH suele presentarse principalmente en los pacientes con edad avanzada con HPTP, explicado en parte por la relación inversa entre densidad mineral ósea y el riesgo de esta complicación, y a la mayor prevalencia de déficit de vitamina D en este grupo etario, por el bajo consumo de productos lácteos y a la reducción de la formación de vitamina D en la piel (1).

A) Fisiología de la PTH, B) Fisiopatología del SHH

Figura 1: A) Fisiología de la PTH, B) Fisiopatología del SHH

Fuente: elaboración propia con datos de 1,3-5,13-17, 20-22

En el HPTP se produce un aumento sostenido en la concentración plasmática de 1,25 OH Vit D, debido a la estimulación de la 1 alfa hidroxilasa secundaria a los niveles altos de PTH. Estos niveles elevados de 1,25 OH Vit D3 tienen acciones inhibitorias sobre los niveles de 25 OH Vit D3 que, aunado al suministro limitado de vitamina D por la privación a la luz solar o a una deficiencia dietética, generan una deficiencia mayor de vitamina D, necesaria para facilitar en el posoperatorio la absorción del calcio a nivel gastrointestinal (24); no obstante, al estudiar el impacto de las concentraciones séricas bajas preoperatorias de vitamina D en el desarrollo de SHH y el impacto de la suplencia con vitamina D para disminuir su aparición, los estudios publicados no han logrado obtener datos estadísticamente significativos (25-28).

Con respecto a los valores de fosfatasa alcalina (FA), los resultados de los estudios encontrados describen concentraciones séricas preoperatorias elevadas como un fuerte predictor de aparición de SHH (1, 21, 25, 29). Los niveles elevados de fosfatasa alcalina se relacionan con un elevado recambio óseo por actividad osteoblástica incrementada, por lo que los estudios recomiendan que en el posoperatorio inmediato de los pacientes sometidos a paratiroidectomía con valores elevados de FA se les supla inmediatamente con dosis más altas de calcio (30-31). Así mismo, otros autores sostienen que las concentraciones séricas de FA preoperatorias también pueden predecir el grado y la duración de la hipocalcemia después de la intervención quirúrgica (30-31).

Otro factor con alta probabilidad de predecir SHH ampliamente descrito es la marcada elevación de las concentraciones séricas de PTH intacta (iPTH) preoperatorias, así como la magnitud de su caída en el posoperatorio (23, 32), sin embargo, no hay un nivel específico de iPTH en el que el riesgo de SHH sea proporcional para sugerir la creación de una calculadora o indicador clínico (1, 4-5, 17, 25, 33).

La osteocalcina, un marcador óseo circulante que refleja la actividad de los osteoblastos y el recambio óseo al igual que la FA, también puede ser un factor predictivo independiente de SHH. El estudio de Wen-Ching Ko et al. muestra que los pacientes con un alto nivel preoperatorio de osteocalcina independientemente de los niveles de FA, son más propensos a tener una mayor demanda de suplementos de calcio (34).

Tabla 1: Factores de riesgo asociados con el SHH

Factor de riesgo
Edad temprana (menor de 45 años) en paciente con hiperparatiroidismo en el contexto de falla renal
Edad avanzada en pacientes con hiperparatiroidismo primario (HPTP)
Concentraciones séricas preoperatorias elevadas de fosfatasa alcalina (FA)
Concentraciones séricas preoperatorias elevadas de PTH intacta (iPTH)
Niveles preoperatorios elevados de osteocalcina
elaboración propia con datos de (1, 10-11, 32).

¿Puede el SHH prevenirse?

Con el objetivo de prevenir el SHH, se han descrito varias opciones de tratamiento que incluyen el uso de vitamina D (1, 4-5, 20, 25) y bifosfonatos. Los estudios plantean que estas opciones terapéuticas instauradas antes de la intervención podrían disminuir el tiempo necesario para la remineralización ósea y la normalización de los marcadores de recambio óseo, así como el tiempo necesario para la normalización del calcio sérico después de una paratiroidectomía exitosa (4-5, 25, 35-38).

Los calcimiméticos como el cinacalcet (un medicamento para tratar el hiperparatiroidismo secundario) se han planteado como otra medida para prevenir la aparición o la gravedad del SHH, al disminuir la remodelación ósea y suprimiendo los niveles altos de PTH (25), sin embargo, con este medicamento se han reportado casos de pacientes que cursaron con hipocalcemia grave y persistente que requirió hospitalización prolongada (39-41).

Bifosfonatos

El uso de bifosfonatos previo a la intervención quirúrgica puede prevenir la aparición de SHH, al reducir el intenso remodelado óseo preoperatorio y de esta forma disminuir la velocidad de entrada de calcio al hueso posterior a la intervención quirúrgica, previniendo la caída de los niveles de calcio y los síntomas de hipocalcemia severa.

La gran mayoría de los datos disponibles son a partir de estudios retrospectivos, series e informes de casos. Uno de los estudios pioneros en este tema fue el realizado por Lee et al. (36), en el cual se realizó una revisión retrospectiva de 23 pacientes con diagnóstico de HPTP que fueron sometidos a paratiroidectomía y cuyas concentraciones plasmáticas de calcio al ingreso eran similares. Estos pacientes se dividieron en dos grupos, los que experimentaron SHH (n = 9) y los que no (n = 14). Ninguno de los 9 pacientes del grupo SHH había recibido tratamiento con bifosfonatos antes de la paratiroidectomía, por su parte, 6 de los 14 pacientes del grupo que no presentaron SHH sí habían recibido pretratamiento con bifosfonatos, ya sea con 400-1600 mg/día de clodronato oral o 60 mg/día de pamidronato intravenoso (36).

En otro estudio retrospectivo, realizado por Mayilvaganan et al. (37), se analizó el efecto de la terapia preoperatoria con bisfosfonatos en la incidencia de SHH en 19 pacientes que fueron intervenidos quirúrgicamente por hiperparatiroidismo primario, de los cuales 8 no recibieron bisfosfonatos y 11 recibieron ácido zoledrónico de 4 mg intravenoso, 24-48 h preoperatoriamente; mientras que 3 de los 8 pacientes que no recibieron tratamiento preoperatorio con ácido zoledrónico tenían SHH, pero ninguno del grupo de ácido zoledrónico lo presentó, y si bien la diferencia entre la prevalencia de SHH entre los dos grupos no fue estadísticamente significativa, sí se observó una tendencia a ser menor en el grupo de ácido zoledrónico. Los investigadores postularon que el tamaño de la muestra podría no haber tenido el poder suficiente para dilucidar una diferencia significativa. Adicionalmente, en este estudio también se evidenció que la necesidad de calcio intravenoso y la duración de la estancia hospitalaria posoperatoria fueron significativamente menores en el grupo de ácido zoledrónico (4, 37).

El metaanálisis publicado en Drugs Research en el 2021, el cual desafortunadamente contó únicamente con los dos estudios previos mencionados, demostró que el uso de bifosfonatos en el preoperatorio de los pacientes con HPTP se asoció con una reducción del 88 % en el riesgo de desarrollar SHH después de la paratiroidectomía, en comparación con los pacientes a quienes no se les ofrecieron bifosfonatos (42).

Otra serie de casos retrospectiva evaluó a seis pacientes diagnosticados con osteítis fibrosa quística, que es la forma grave del HPTP, sometidos a paratiroidectomía, los cuales fueron tratados preoperatoriamente con bifosfonatos (alendronato oral de 20-30 mg/día, durante 4-6 semanas, o una dosis única de pamidronato de 90 mg o ibandronato de 150 mg por vía intravenosa (IV), diez días antes de la cirugía). Se encontró que ninguno de estos pacientes mostró signos de hipocalcemia en la primera semana posoperatoria, por lo que no requirieron suplementos de calcio intravenoso (5, 38).

El estudio de Davenport y Stearns (43) siguió el posoperatorio de 37 pacientes con insuficiencia renal terminal en programa de diálisis que fueron sometidos a paratiroidectomía total, donde a 27 de estos pacientes se les administró pamidronato entre 24 y 48 horas antes del procedimiento. En el primer día posoperatorio, los 10 pacientes que recibieron terapia estándar sin pamidronato presentaron un descenso significativo del calcio sérico corregido, requiriendo manejo con bolos de calcio intravenoso, por su parte, el grupo de 27 pacientes que recibió pamidronato presentaron un descenso de calcio menos brusco y solo dos de ellos requirieron apoyo adicional con calcio intravenoso. De acuerdo con estos resultados, los autores sostienen que el pamidronato preoperatorio en combinación con suplementos de calcio puede prevenir la hipocalcemia posoperatoria sintomática, así como reducir la necesidad de monitorización intensiva del calcio, la morbilidad del paciente y la estancia hospitalaria (43); sin embargo, en otros reportes de caso se ha evidenciado que el tratamiento del hiperparatiroidismo grave con pamidronato (dos veces de 90 mg o 5 × 15 mg IV), alendronato (70 mg/semana) o zoledronato no pudo prevenir por completo el SHH (5, 19, 44). Incluso, Corsello et al. (45) describieron el caso de una paciente de 64 años con HPTP tratado con ácido zoledrónico, que desarrolló una hipocalcemia posoperatoria grave resistente al tratamiento habitual. Los autores sugieren que la hipocalcemia en esta paciente se desarrolló porque el tratamiento con bifosfonatos disminuyó eficazmente la resorción ósea osteoclástica, mientras que persistió la formación osteoblástica, motivo por el cual postulan una relación causal entre el uso de bifosfonatos y el SHH posoperatorio (45).

Este hallazgo ya había sido descrito en 1997 por Graal y Wolffenbuttel (24), quienes reportaron el caso clínico de una mujer de 34 años con hiperparatiroidismo no tratado de tres años de evolución, quién ingresó por hipercalcemia asociada a deficiencia de vitamina D, densidad mineral ósea extremadamente baja y niveles de FA fuertemente elevados. Se planteó que la paciente se beneficiaba de una paratiroidectomía y, con el objetivo de prevenir una hipocalcemia posoperatoria, se inició tratamiento a corto plazo con pamidronato para frenar el recambio óseo mediado por los osteoclastos. Tras la cirugía, el calcio sérico disminuyó en pocas horas y 24 horas más tarde presentó signos de tetania, desarrollando una hipocalcemia grave prolongada “a pesar” del tratamiento previo; sin embargo, los autores plantearon que el pretratamiento con bifosfonatos hubiera sido efectivo con una administración más prolongada y no justo antes de la intervención (24).

En conclusión, la mayoría de los resultados de estos estudios sugieren que el uso de bifosfonatos de forma preoperatoria, pero no inmediata a la intervención en pacientes con hiperparatiroidismo con alto riesgo de presentar SHH, parece ser efectivo para minimizar la hipocalcemia severa secundaria, sin embargo, presentan limitaciones al tener un carácter retrospectivo e incluir a un pequeño número de participantes, por lo que se requieren más estudios para respaldar esta recomendación.

Vitamina D

La optimización preoperatoria de vitamina D disminuye los niveles de PTH y la disminución de los niveles de PTH podrían disminuir el SHH en el posoperatorio de los sometidos a paratiroidectomía, debido a la asociación ya conocida entre los niveles altos de PTH y del riesgo de SHH (46).

Con el objetivo de evaluar el efecto de la corrección preoperatoria de los niveles séricos de vitamina D sobre la aparición de SHH posoperatorio, Salman et al. (28) realizaron un estudio prospectivo donde analizaron a 102 pacientes programados para paratiroidectomía que tenían simultáneamente hiperparatiroidismo primario y deficiencia de vitamina D. Los pacientes fueron divididos en dos grupos: el grupo I conformado por 52 pacientes que no recibieron suplementos de vitamina D preoperatoriamente y el grupo II conformado por 50 pacientes, quienes sí recibieron manejo con colecalciferol por periodos variables no mayores de seis meses hasta alcanzar niveles de vitamina D > 20 ng/ml (grupo IIa = 25 pacientes) y > 30 ng/dl (grupo IIb = 25 pacientes).

La incidencia del SHH en el grupo IIb fue menor que en el grupo I y el grupo IIa (8 % frente a 16 % y 23 %, respectivamente). Si bien se observó una mejoría considerable en los niveles séricos de calcio y FA en el grupo que recibió suplementos de vitamina D respecto al grupo control en el periodo posoperatorio, no se encontró una disminución estadísticamente significativa en la incidencia de SHH después de la corrección preoperatoria de vitamina D7.

Por lo tanto, aunque la fisiopatología permite inferir los efectos benéficos de la suplementación con vitamina D en el preoperatorio, la evidencia disponible no parece demostrar, por lo menos de manera estadísticamente significativa, que la suplencia de forma preoperatoria reduzca el riesgo de SHH.

Discusión

Los medicamentos usados tienen como objetivo la suplencia del calcio, el magnesio y la vitamina D, por la abrupta caída de los niveles séricos de la PTH.

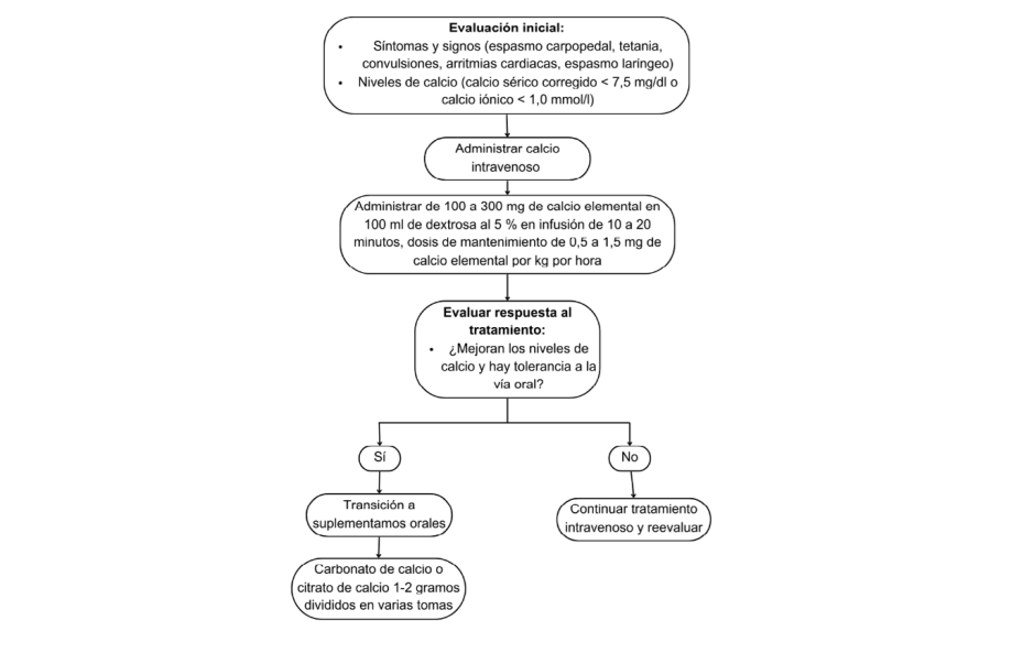
Si el paciente desarrolla una reducción rápida y progresiva de los niveles séricos de calcio o síntomas relacionados con hipocalcemia aguda, incluida la tetania franca o latente (signo de Chvostek o Trousseau), convulsiones, arritmias cardiacas, espasmo laríngeo o una concentración de calcio sérico corregido por albúmina menor a 7,5 mg/dl o calcio iónico menor a 1,0 mmol/l, está indicada la administración de calcio por vía IV (47).

Existen dos presentaciones de calcio intravenoso: el gluconato de calcio que proporciona 90 mg de calcio elemental por cada gramo y el cloruro de calcio que contiene 270 mg de calcio por cada gramo. En adultos, se recomienda administrar de 100 a 300 mg de calcio elemental en una solución de 100 ml de dextrosa al 5 %, con una infusión que dure de 10 a 20 minutos, seguida de una dosis mantenimiento de 0,5 a 1,5 mg de calcio elemental por kilogramo por hora, que corresponde a las necesidades de calcio elemental por hora del paciente (33).

Para preparar la solución de infusión inicial se puede utilizar el gluconato de calcio al 10 % (90 mg de calcio elemental por 10 ml) o cloruro de calcio al 10 % (270 mg de calcio elemental por 10 ml). Para la infusión de mantenimiento se recomienda preparar una solución que contenga 1 mg/ml de calcio elemental, añadiendo 100 ml de gluconato de calcio al 10 % a 1000 ml de dextrosa al 5 % y se administra a una velocidad de 50 ml/hora. Se prefiere el uso de gluconato de calcio dado que se tolera mejor a través de una vía IV periférica y es esencial realizar un monitoreo continuo con electrocardiograma durante la infusión, debido al riesgo de disfunción cardiaca (33).

Una vez se logren mejorar los niveles séricos y el paciente tolere la vía oral, se puede considerar el cambio a suplementos orales de 1-2 gramos, divididos en varias tomas y con las comidas para mejorar su absorción. Es importante destacar que los pacientes con hipoparatiroidismo pueden requerir dosis más altas (33).

Entre las opciones de calcio oral, las dos más comunes son el carbonato de calcio, que contiene un 40 % de calcio elemental (sin embargo, este puede ser ineficaz si los pacientes están utilizando inhibidores de la bomba de protones), y el citrato de calcio, que contiene un 20 % de calcio elemental y es preferible en casos de problemas de constipación. Es crucial tener en cuenta que el intestino se satura con 500 mg de calcio elemental, lo que hace que una ingesta mayor sea inefectiva, por lo tanto, es necesario dividir las dosis (48).

Dado que los bajos niveles de vitamina D y magnesio afectan los niveles séricos de calcio y la absorción enteral de este, es importante administrarlos. La vitamina D tiene varias presentaciones, siendo la más utilizada el calcitriol, ya que se sobrepone a la falta de PTH. La dosis recomendada es de 0,5-2 mcg/día dividido en dos dosis (48). Por su parte, el magnesio se administra intravenosamente, donde cada gramo intravenoso equivale a 8 mEq y aumenta en 0,15 mEq por día. Se administra un bolo de 2 gramos, seguido de una infusión continua de un máximo de 16 gramos en 24 horas, hasta que se normalicen los valores (47).

Manejo de hipocalcemia severa

Figura 2: Manejo de hipocalcemia severa

Fuente: elaboración propia con datos de (33, 47-48)

Conclusión

El SHH es una de las complicaciones más graves del posoperatorio inmediato de la paratiroidectomía quirúrgica, se caracteriza por ser un estado de hipocalcemia severa asociado a hipomagnesemia e hipofosfatemia que persiste más allá del cuarto día posoperatorio y es causado por el depósito masivo de calcio en el hueso secundario a la supresión de la PTH.

Se han documentado múltiples factores de riesgo que predicen de forma independiente el desarrollo de esta patología, dentro de los cuales se incluyen la edad joven para los pacientes con hiperparatiroidismo asociado a falla renal, la fosfatasa alcalina sérica preoperatoria alta y el bajo nivel de calcio preoperatorio. Estos factores se pueden utilizar para identificar a los pacientes con riesgo de desarrollar SHH grave después de la paratiroidectomía, con el objetivo de lograr un control adecuado del calcio, garantizando el correcto reemplazo.

En los últimos años se han planteado diferentes estrategias de prevención, donde la terapia con bifosfonatos parece ser eficaz para reducir la incidencia del SHH, con mejores resultados si se administra días previos a la cirugía y no inmediatamente antes de la misma. Por otra parte, la suplencia con vitamina D preoperatoria no ha mostrado tener una disminución de la incidencia de esta entidad estadísticamente significativa.

Debido al número limitado de evidencia publicada, no es posible tener guías respecto a la prevención que se le debe dar al SHH, por lo que se necesitan estudios prospectivos aleatorizados para resolver esta interrogante.

El tratamiento de la hipocalcemia se centra en la suplencia de calcio, magnesio y vitamina D, para corregir rápidamente los niveles séricos y prevenir complicaciones graves. Además, se prefieren las presentaciones de gluconato de calcio, debido a su mejor tolerancia en vías intravenosas periféricas y, una vez estabilizados los niveles de calcio, se puede considerar la transición a suplementos orales. Adicionalmente, es esencial el monitoreo continuo durante la infusión debido al riesgo de disfunción cardiaca.

Contribuciones de los autores

Angélica María González Clavijo: conceptualización, investigación, administración de proyecto, supervisión, escritura (borrador original), escritura (revisión del borrador y revisión/ corrección); Cristian Camilo Amado Medina: investigación, escritura (borrador original), escritura (revisión del borrador y revisión/corrección); Marco Sebastián Rincón Torres: investigación, escritura (borrador original), escritura (revisión del borrador y revisión/corrección).

Implicaciones éticas

Los autores no tienen implicaciones por declarar en la escritura o publicación de este artículo.

Declaración de fuentes de financiación

Esta investigación no recibió apoyo financiero ni la elaboración o publicación del presente artículo.

Conflictos de interés

Los autores declaran que no tuvieron conflictos de interés asociados al desarrollo de la investigación.